This website requires JavaScript.
Explore
Help
Sign In
JamesFlare
/
CSCI-1200
Watch
1
Star
0
Fork
0
You've already forked CSCI-1200
Code
Issues
Pull Requests
Packages
Projects
Releases
Wiki
Activity
Files
c39108107cea2fe63e08c243b448ec079f4c791d
CSCI-1200
/
hws
/
03_matrix_class
/
images
/
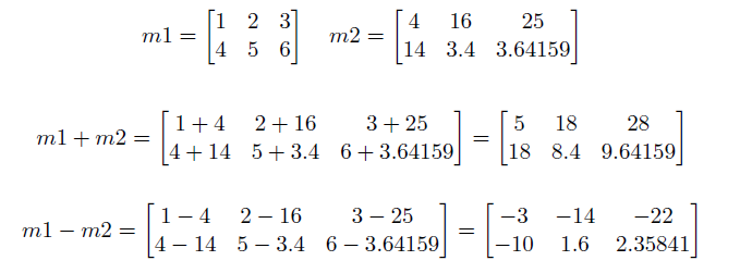
matrix_addition.png
Jidong Xiao
39fb58f87e
addition and transpose
2023-09-22 00:01:41 -04:00
28 KiB
679x251px
Raw
History
Reference in New Issue
View Git Blame
Copy Permalink