This website requires JavaScript.
Explore
Help
Sign In
JamesFlare
/
CSCI-1200
Watch
1
Star
0
Fork
0
You've already forked CSCI-1200
Code
Issues
Pull Requests
Packages
Projects
Releases
Wiki
Activity
Files
a048f5a888de77bf05d8092bf99f5ea50d534e49
CSCI-1200
/
old_hws
/
03_matrix_class
/
images
/
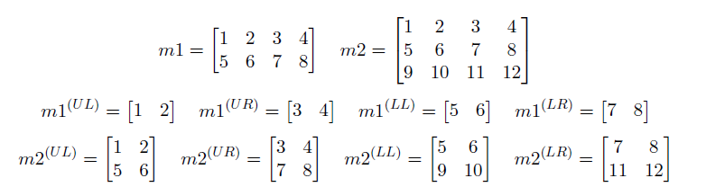
matrix_quarter.png
Jidong Xiao
e1ee004bbd
adding hw3 and move old hw3 to old hw folder
2024-01-21 14:22:19 -05:00
27 KiB
782x218px
Raw
History
Reference in New Issue
View Git Blame
Copy Permalink