This website requires JavaScript.
Explore
Help
Sign In
JamesFlare
/
CSCI-1200
Watch
1
Star
0
Fork
0
You've already forked CSCI-1200
Code
Issues
Pull Requests
Packages
Projects
Releases
Wiki
Activity
Files
67c5cb864118820ad11d2c4a5b08a0b09f4547ce
CSCI-1200
/
hws
/
matrix_class
/
images
/
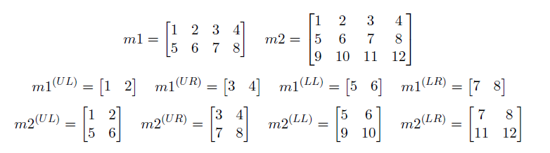
matrix_quarter.png
Jidong Xiao
94394cf056
adding matrix class hw
2025-02-04 18:47:29 -05:00
27 KiB
782x218px
Raw
History
Reference in New Issue
View Git Blame
Copy Permalink