This website requires JavaScript.
Explore
Help
Sign In
JamesFlare
/
CSCI-1200
Watch
1
Star
0
Fork
0
You've already forked CSCI-1200
Code
Issues
Pull Requests
Packages
Projects
Releases
Wiki
Activity
Files
6240353c8c4044cdfcd46190055b7df52d258e89
CSCI-1200
/
hws
/
03_matrix_class
/
images
/
matrix_quarter.png
Jidong Xiao
987e119d4a
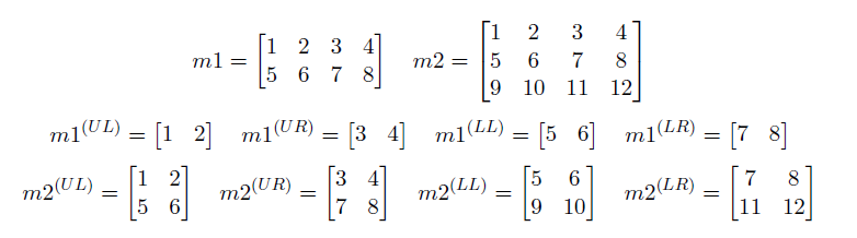
quarter operation image
2023-09-22 00:05:17 -04:00
27 KiB
782x218px
Raw
History
Reference in New Issue
View Git Blame
Copy Permalink