This website requires JavaScript.
Explore
Help
Sign In
JamesFlare
/
CSCI-1200
Watch
1
Star
0
Fork
0
You've already forked CSCI-1200
Code
Issues
Pull Requests
Packages
Projects
Releases
Wiki
Activity
Files
36c8a269a464432cda95e3e41a1f3e71e2a2035a
CSCI-1200
/
lectures
/
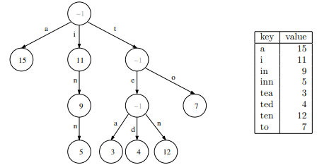
27_hybrid_data_structures
/
trie.png
Jidong Xiao
1b024183c3
adding trie diagram
2023-12-04 16:07:43 -05:00
24 KiB
448x234px
Raw
History
Reference in New Issue
View Git Blame
Copy Permalink