This website requires JavaScript.
Explore
Help
Sign In
JamesFlare
/
CSCI-1200
Watch
1
Star
0
Fork
0
You've already forked CSCI-1200
Code
Issues
Pull Requests
Packages
Projects
Releases
Wiki
Activity
Files
03b9191575b1c02850b6f9273c3aad66ecb82a1a
CSCI-1200
/
lectures
/
18_trees_II
/
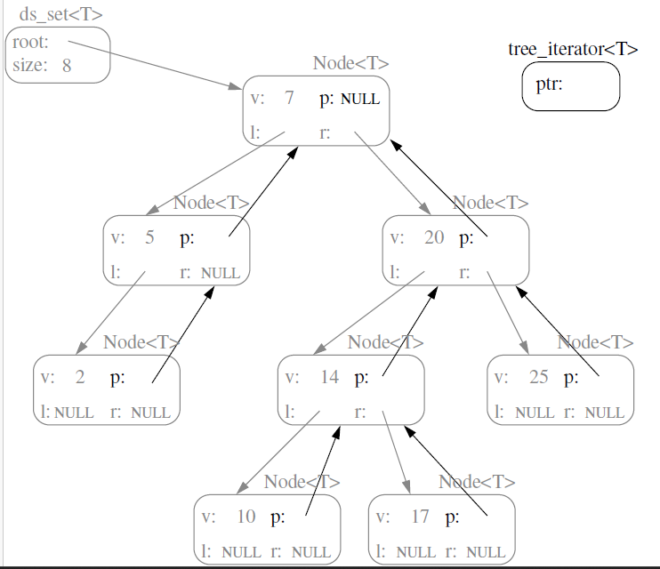
ds_set_parent_ptrs.png
Jidong Xiao
cf471deb44
adding two ds set images
2023-11-02 23:09:00 -04:00
65 KiB
742x640px
Raw
History
Reference in New Issue
View Git Blame
Copy Permalink